Parts Catalog Accessories Catalog How To Articles Tech Forums
Call Pelican Parts at 888-280-7799
Shopping Cart Cart | Project List | Order Status | Help



Go Back   PeachParts Mercedes-Benz Forum > General Discussions > Off-Topic Discussion

Reply
 
LinkBack Thread Tools Display Modes
  #1  
Old 04-23-2012, 03:52 PM
Registered User
 
Join Date: Jun 2008
Location: Los Angeles, CA
Posts: 1,269
Area of a solid bound by...

Find the volume of the solid obtained by rotating the region bounded by

y=x-x^2
y=0

About the line x = 2

Not sure if it's a solid or a shell, but it's confusing me.

Help?

Reply With Quote
  #2  
Old 04-23-2012, 05:53 PM
He/Him
 
Join Date: May 2010
Location: DC Metro/Maryland
Posts: 15,936
Quote:
Originally Posted by colincoon View Post
Find the volume of the solid obtained by rotating the region bounded by

y=x-x^2
y=0

About the line x = 2

Not sure if it's a solid or a shell, but it's confusing me.

Help?
It's gonna be a solid. And remember that y=0 is a HORIZONTAL line.

You end up with something like this:


...crap, had a graph on here but it won't work..



It'll look something like a D profile ring.
__________________
Onus probandi incumbit ei qui dicit, non ei qui negat

I recondition w123/w126/w124/w140/r107/r129/ steering boxes!


1984 300D "Elsa" odo reset 6/2011 147k
1983 300TD "Mitzi" ~268k OM603 powered
1995 E300 "Adelheid" 262k [Sold]
Reply With Quote
  #3  
Old 04-23-2012, 06:01 PM
Registered User
 
Join Date: Jun 2008
Location: Los Angeles, CA
Posts: 1,269
Right, I know that, but I have to find the area around x=2, not the area between y=x-x^2 and y=0.

So I have to get y=x-x^2 in terms of x, and that is proving difficult.
Reply With Quote
  #4  
Old 04-23-2012, 06:49 PM
anghrist's Avatar
Registered User
 
Join Date: Sep 2006
Location: Lancaster, CA
Posts: 558
To visualize it.

It would look like the upper half of a toroid (upper half of a donut).

The y=x-x^2 is the upper profile of the shape.

The y=0 is the lower (planar) surface of the shape.

x = 2 defines the center of the hole.

Use the shell method and add up the multiple cylindrical integrated 'shells'. Which will constitute the shape.
__________________
2013 Volkswagen Jetta Hybrid SEL Premium (Sparky)
http://badges.fuelly.com/images/smallsig-us/193500.png


It's a car not a science experiment! Open the throttle!
Reply With Quote
  #5  
Old 04-23-2012, 06:54 PM
anghrist's Avatar
Registered User
 
Join Date: Sep 2006
Location: Lancaster, CA
Posts: 558
Quote:
Originally Posted by colincoon View Post
So I have to get y=x-x^2 in terms of x, and that is proving difficult.
Um,

y(x) = x - x^2 = x(1 - x)

y = 0 when x = 0 or x = 1


did you want x(y)?
__________________
2013 Volkswagen Jetta Hybrid SEL Premium (Sparky)
http://badges.fuelly.com/images/smallsig-us/193500.png


It's a car not a science experiment! Open the throttle!
Reply With Quote
  #6  
Old 04-23-2012, 07:23 PM
Registered User
 
Join Date: Jun 2008
Location: Los Angeles, CA
Posts: 1,269
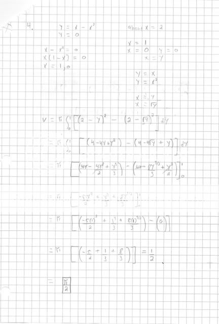
I think I figured it out, that or I completely botched it.

If x=0 and y=0, and y=x-x^2 then y=x and y=x^2, as x^2=x for 0 and 1.

So my y's are y, and root y.

Probably incorrect, but that's about as good of a guess as I could come up with. Area was pi/2.
Reply With Quote
  #7  
Old 04-23-2012, 07:41 PM
Registered User
 
Join Date: Feb 2002
Posts: 2,288
The problem didn't ask for the area. It asked for the volume.

I am confused about the conditions set in the original problem. You said:

y=x-x^2
y=0

I think you need a range of y's. Otherwise, the volume would be zero because the solid would only have 2 dimensions (x and z). It's got to have a range of y's to give it 3 dimensional volume. Does that make sense? I may have missed the point.
Reply With Quote
  #8  
Old 04-23-2012, 07:44 PM
Registered User
 
Join Date: Jun 2008
Location: Los Angeles, CA
Posts: 1,269
Sorry I meant volume.

Yeah it's pretty confusing, I mean I know how to find volume of solids and shells, but the y=x-x^2 is what threw me off.

I'll see if I can scan what I did to show you if I did it correctly or not.
Reply With Quote
  #9  
Old 04-23-2012, 07:51 PM
Registered User
 
Join Date: Jun 2008
Location: Los Angeles, CA
Posts: 1,269
Reply With Quote
  #10  
Old 04-23-2012, 07:54 PM
Botnst's Avatar
Banned
 
Join Date: Jun 2003
Location: There castle.
Posts: 44,587
http://faculty.eicc.edu/bwood/math150supnotes/supplemental26.html

Reply With Quote
Reply

Bookmarks


Posting Rules
You may not post new threads
You may not post replies
You may not post attachments
You may not edit your posts

BB code is On
Smilies are On
[IMG] code is On
HTML code is On
Trackbacks are On
Pingbacks are On
Refbacks are On




All times are GMT -4. The time now is 04:49 AM.


Powered by vBulletin® Version 3.8.7
Copyright ©2000 - 2026, vBulletin Solutions, Inc.
Search Engine Optimization by vBSEO 3.6.0
Copyright 2024 Pelican Parts, LLC - Posts may be archived for display on the Peach Parts or Pelican Parts Website -    DMCA Registered Agent Contact Page